CSIC CREA UN PRINCIPIO ACTIVO PARA TRATAR EL CANCER
Los experimentos llevados a cabo, en una investigación del CSIC, han permitido descubrir un principio activo para la fabricación de un medicamento para el tratamiento del cáncer.
El experimento se refiere a compuestos con núcleo de dioxano derivados de carbohidratos y C-glucósidos, su procedimiento de obtención, el uso de dichos compuestos como citotóxicos y antiproliferativos y el uso para la fabricación de un medicamento para tratar el cáncer.
El desarrollo de procesos dominó y secuenciales es un campo de gran interés en Química Sostenible (o Química Verde). Estos procesos disminuyen el tiempo de síntesis, al realizarse varias reacciones de forma consecutiva, sin necesidad de añadir sustratos distintos a los de partida ni de extraer los productos intermedios de la reacción, con lo que se ahorran materiales y se reducen los residuos a tratar.
La aplicación de estos procesos a la preparación de productos de alto valor añadido a partir de sustratos relativamente baratos tiene especial interés.
La invención proporciona una serie de análogos de carbohidratos y C-glicósidos y su método de obtención mediante un proceso químico dominó, es decir, un proceso en el que se producen varias reacciones consecutivas, sin cambiar las condiciones de reacción y sin necesidad de aislar los productos intermedios.
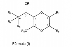
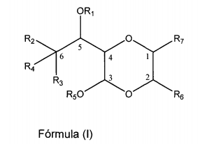
El compuesto tiene la siguiente fórmula (I):
R1 se selecciona entre hidrógeno, alquilo, acilo, arilo o heteroarilo.
R2 se selecciona entre hidrógeno, alquilo, arilo.
R3 se selecciona entre hidrógeno, alquilo, arilo
R4 se selecciona entre hidrógeno, alquilo, arilo, alcoxi, aciloxi, amino o amido; o
R4 y R5 no existen y se forma un grupo éter entre el carbono en posición 6 y el oxígeno unido al carbono en posición 3.
R5 se selecciona entre hidrógeno, alquilo o acilo.
Ventajas del principio activo:
1) Se pueden obtener productos de alto valor añadido (posibles fármacos) a partir de derivados de azúcares muy fáciles de obtener.
2) Se utilizan reactivos poco tóxicos (otros procesos de escisión radicalaria utilizan reactivos metálicos muy tóxicos, como el tetraacetato de plomo).
3) Las condiciones de reacción son muy suaves, y compatibles con sustratos relativamente lábiles y con muchos grupos funcionales.
4) El proceso es simple. Transcurre a temperatura ambiente, no es necesario usar reactores con sistemas de enfriado o calefacción, lo que abarata la síntesis.
5) Los reactivos se destruyen en la extracción acuosa. El yodo da yoduros, el diacetoxiyodobenceno da yodosilbenceno, un subproducto relativamente poco tóxico, fácil de tratar.
FUENTE | ORGANISMO DE PATENTES
Artículos muy relacionados:



Información Bitacoras.com…
Valora en Bitacoras.com: Los experimentos llevados a cabo, en una investigación del CSIC, han permitido descubrir un principio activo para la fabricación de un medicamento para el tratamiento del cáncer. El experimento se refiere a compuestos ……
[...] CSIC CREA UN PRINCIPIO ACTIVO PARA TRATAR EL CANCER [...]
que sean nuevos eso ya lo he hecho el año pasado
que estupidos e idiotas que no pueden hACER UNA COSA BIEN